Hierarchical Bayesian fitting of psychometric functions.
PAL_PFHB_MultipleSubjectsSingleCondition_Demo: Hierarchical Bayesian fitting of psychometric functions obtained from multiple subjects testing in single conditions. Visit our
Bayesian Fitting page for more information

Figure 1. Posterior and diagnostic plots for the location hyper parameter.

Figure 2. Data and fit for subject 1.

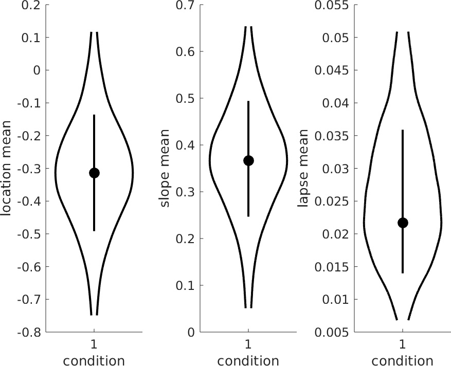
Figure 3. Violin plot for location hyper-parameter.

Figure 4. Violin plot for location parameters of individual subjects.

Figure 1. Posterior and diagnostic plots for the location hyper parameter.

Figure 2. Data and fit for subject 1.

Figure 3. Violin plot for location hyper-parameter.

Figure 4. Violin plot for location parameters of individual subjects.
