Figures Produced by the Demo Programs in the PalamedesDemos Folder

Click on any figure to see large versions of all figures produced by the demo and a brief description. Note that many of these programs will produce different results each time they are run. Programs are listed in alphabetical order

PAL_AMPM_Demo:
Psi or Psi-marginal adaptive method
PAL_AMPM_Classify_Demo:
Observer classification using extened psi(-marginal) method
PAL_AMRF_Demo:
'Running fit' adaptive method:
PAL_AMUD_Demo:
'up/down' adaptive method
PAL_MLDS_Demo:
Maximum-Likelihood difference scaling
PAL_PFHB_MultipleSubjectsandConditions_Demo:
Bayesian hierarchical fitting of psychometric functions obtained from multiple subjects testing in multiple conditions.
PAL_PFHB_MultipleSubjectsSingleCondition_Demo:
Bayesian hierarchical fitting of psychometric functions obtained from multiple subjects testing in single condition.
PAL_PFHB_SingleSubjectMultipleConditions_Demo:
Bayesian hierarchical fitting of psychometric functions obtained from single subject testing in multiple conditions.
PAL_PFHB_SinglePF_Demo:
Bayesian hierarchical fitting of single psychometric function.
PAL_PFLR_Demo:
Fits two Psychometric Functions simultaneously and statistically compares models:
PAL_PFLR_FourGroup_Demo:
Fits multiple conditions simultaneously and performs trend analysis on pattern of thresholds:
PAL_PFLR_CustomDefine_Demo:
Reparametrizes parameters to test whether learning curves differ between two tasks:
PAL_PFLR_LearningCurve_Demo:
Tests whether thresholds deviate significantly from learning curve
PAL_PFML_Demo:
Maximum-likelihood psychometric function fit
PAL_PFML_SearchGrid_Demo:
PAL_PFML_Fit performs a brute-force search to find seeds for iterative Simplex search:
PAL_SDT_DPtoPCacrossM_Demo:
Proportion correct as a function of number of alternatives, M, for a d' (d-prime) of 1, for three different forced-choice tasks
PAL_SDT_DPtoPCcomparison_Demo:
Proportion correct as a function of d' (d-prime) for four different tasks.
PAL_SDT_PCtoDPcomparison_Demo:
d' (d-prime) as a function of proportion correct for four tasks.
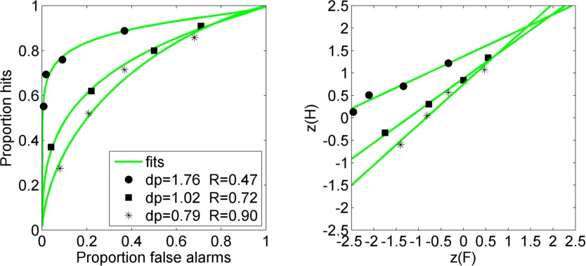
PAL_SDT_ROCML_Demo:
Fitting of ROC (Receiver Operating Characteristic) curves.
PAL_SDT_PF_Demo:
Shows the fit of an SDT model to a psychometric function.
PAL_SDT_PSvAS_3PFmultipleFit_Demo:
Shows fits of both additive and probability summation models to three psychometric functions.
PAL_SDT_PSvAS_SummSquare_Demo:
Shows the fit of both additive and probability summation models to five psychometric functions, with thresholds and model fits displayed in a summation square.